샘플링 검사법
품질경영
![]()
프로세스 품질관리
- 샘플링 검사법: lot 단위로 제품을 검사하여, 그 결과에 따라 lot 전체를 합격 또는 불합격으로 판정하는 방법
- 규준형 샘플링 검사법: 샘플링 검사 후 규격을 만족하지 못하면 로트 전체 불합격 판정
- 선별형 샘플링 검사법: 샘플링 검사 후 규격을 만족하지 못한 제품만 선별하여 양품으로 교체
전제조건
- 로트 단위의 생산
- 표본 채취의 무작위성
- 명백한 품지기준
- 품질 특성값의 분포를 알고 있음
검사의 위험

- 일부를 가지고 판별하면 통계적 오류의 가능성이 존재함
샘플링의 오차
- 정밀도: 시료를 무한히 많이 측정할 대 측정값이 가지는 산포의 크기가 얼마나 좁은 가(측정 결과가 얼마나 일관성 있게 나오는가)
- \(z_{α/2} * \frac{σ}{\sqrt{n}}\)
- 신뢰도: 신뢰구간(95% 등)
- 목표 신뢰도와 정밀도를 위한 n 계산 가능
샘플링 방법의 종류
- 랜덤 샘플링
- 층별 샘플링: stratified sampling
- 집락 샘플링: 그룹을 랜덤으로 샘플링 해서 선택된 그룹 내에서 전수조사
- 시간과 비용을 절약할 수 있지만, 선택된 그룹이 전체를 대표하지 못할 위험 존재
- 2 단계 샘플링
- 집락 샘플링 처럼 그룹을 랜덤으로 선택(더 많이 선택)
- 선택된 그룹 내에서 전수 조사가 아닌 랜덤 샘플링 수행
- 기존 집락 샘플링에서 전수조사를 함으로써 균질된 진랍 내에서만 대표성을 가지는 문제 해결
샘플링 검사법
- 계수형 샘플링 검사
- 계수 규준형 샘플링 검사
- 계수 조정형 샘플링 검사
- 계수값 축차 샘플링 검사
- 계량형 샘플링 검사
계수 규준형 샘플링 검사
- 크기 N인 로트에서 n개를 샘플링하여 불량이 c개 이하면 로트 전체 합격
- \(p_0\): 합격품질수준(AQL)
- \(p_1\): 한계품질수준(LQL)
- 생산자 위험: 불량률이 AQL 이하인 로트가 불합격할 확률
- 소비자 위험: 불량률이 LQL 이상인 로트가 합격할 확률

- OC 커브: 로트의 실제 불량률이 p라고 할 때, 로트의 합격 확률을 나타내는 곡선
- 샘플에서 발견되는 불량의 개수 X는 초기하분포를 따름. \(L(p) = P(X ≤ c) = Σ (Np C x) * (N - Np C n - x) / (N C n)\)
- N이 크면 이항분포로 근사. \(L(p) = P(X ≤ c) = Σ (nCx) * p^x * (1-p)^(n-x)\)
- n이 충분히 크면 포아송 분포로 근사. \(L(p) = P(X ≤ c) = Σ (e^(-np) * (np)^x) / x!\)


- n이 클수록 예방 비용, 검사 비용 증가, 외부 실패비용 감소
- c가 클수록 외부 실패비용 증가, 폐기 비용 감소
- n의 변화에 따른 기울기 변화가 더 가파르다.
- p가 줄어들면 당연히 합격 확률이 증가. 생산자 위험 감소
계수 규준형 1회
- \(α, β\)를 만족할 수 있는 n, c 조합 찾기. 하지만 매우 복잡함
- 고로 표를 이용함


계수 규준형 다회 샘플링 검사

- 마지막 회차 r은 c + 1
- OC 곡선을 그릴 때는 r도 고려해야 함
계수 조정형 샘플링 검사
- 생산자의 품질 수준에 따라 차별적인 샘플링 검사 시행
- 검사 절차(AQL 지표형 샘플링 검사표 참고)
- 검사 로트의 구성 및 크기를 정한다.
- AQL을 설정한다.
- 검사 수준을 결정한다.
- 검사의 엄격도를 정한다. 일반적으로 보통 검사에서 시작.
- 샘플링 형식을 정한다.
- 정해진 샘플문자, AQL, 샘플링 형식, 엄격도로부터 샘플링 검사 방식을 정한다.
- 검사로트로부터 샘플을 채취, 검사하고 합격 불합격을 판정한다.

- 로트의 크기가 커질 수록 검사가 빡빡해짐
- 특별 검사: 한번 한번의 샘플링이 어려운 경우. 검사 수준이 일반 검사 수준에 비해 낮다.

- 전환 스코어 Ac: 2가 기준인건 좀 이상하긴 하지만 어쨌든 Ac가 높다는건 샘플링도 많이 했다는 뜻으로 생각해 가산점을 더 많이 주는 것
- 계수 조정형에서는 명시적으로 LQL, β를 고려하지 않음. 검사 엄격도로 β가 간접적으로 조절된다고 봄.
계수값 축차 샘플링 검사
- 샘플링 개수를 정하지 않고, 로트에서
1개씩 검사(다회 샘플링과의 차이)하여- 누적 부적합 / 불량 개수(D_t)가 합격판정 개수(A_t) 이하면 합격, 불합격 판정개수(R_t) 이상이면 불합격
- 최대 샘플링 개수에 도달하면 마지막 회차 합격 판정개수에 따라 합불 판정
계량 규준형 샘플링 검사
- 정보의 양이 많기 때문에 계수형에 비해 샘플링 개수가 적어도 정확한 판정 가능
- 파괴 검사 등 검사 비용이 높을 경우 유리
- 하지만 계량형이 덜 직관적이다.(표본에 불량이 없어도 로트 불합격 가능)
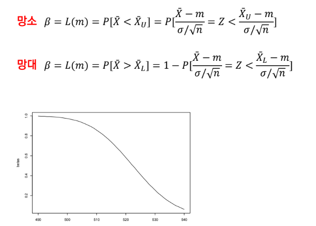
불량률 보증 (로트가 단품의 묶음인 경우)

- \(\bar{X}_U\): USL - kσ, 샘플링의 평균의 합불 여부를 USL이 아닌 안전마진이 있는 값과 비교. (샘플에 극단적인 값들이 포함될 수 있기 때문)
- σ는 \(\bar{R}/d_2\)로 추정 혹은 알려져 있다고 가정.


- σ와 무관하게 m을 바꿔가며 p와 L(p) 조합을 찾을 수 있다.
평균 보증 (로트가 연속체인 경우)

- n이 의미하는건 1000ml 단위 1병, 2병, …


